عدد صابونی

عدد صابونی

عدد صابونی

عدد صابونی , میزان میلی گرم پتاس است که برای صابونی کردن یک گرم ماده چربی به کار میرود. به عبارتی معیاری از اسید های استریفه شده و آزاد موجود در چربی ها و اسید های چرب می باشد. اندازه گیری عدد صابونی در روغن ها و چربی های خوراکی برای مشخص کردن وزن مولکولی اسیدهای چرب و یا مشخص کردن کردن طول زنجیره اسیدچرب موجود در روغن بکار می رود. مقدار پتاسی که برای صابونی کردن اسیدهای چرب مختلف لازم است با وزن ملکولی آنها نسبت معکوس دارد. یک گلیسیرید، شامل زنجیره اسید چرب است هر چه طول زنجیره اسید چرب بیشتر باشد؛ وزن مولکولی گلیسیرید هم زیادتر است و در نتیجه مقدار پتاس کمتری صرف صابونی کردن مقدار معینی از آن می شود و برعکس هرگاه مقدار اسیدهای چرب با زنجیر کوتاه در ساختمان چربی بیشتر باشد؛ مقدار بیشتری پتاس برای صابونی کردن همان مقدار چربی مصرف می شود.


اصول آزمایش

اگر به مقدار معینی از ماده چرب مقدار زیادتر از حد پتاس الکلی اضافه شود و حرارت داده شود، در عین حال که تحت دستگاه سرد کننده قرار گرفته باشد، سبب صابونی شدن ماده چرب می گردد. محلول الکلی برای حل کردن چربی و زیاد کردن سطح تماس ماده چرب با پتاس می باشد. بدین ترتیب، نمونه چربی را با مقادیر زیادی KOH الکلی واکنش می دهند و KOH باقی مانده را از طریق تیتراسیون محاسبه می کنند. با اندازه گیری مقدار پتاس باقیمانده و کسر این مقدار از مقدار پتاس کل (نمونه شاهد)، مقدار پتاس مصرف شده و عدد صابونی ماده چرب محاسبه می شود.


محلول های مورد نیاز

۱ -پتاسیم هیدروکسید اتانولی (به دو روش زیر تهیه می شود):
الف) یک لیتر اتانول را با ۸ گرم پتاسیم هیدروکسید و ۵ گرم، قرص پرک آلومینیوم به مدت یک ساعت تحت جریان برگشتی جوشانده، سپس بلافاصله تقطیر کرده و مقدار لازم پتاسیم هیدروکسید (حدودا ۳۵ گرم) به مایع تقطیر شده اضافه کرده و می گذاریم چند روز بماند. سپس محلول شفاف رویی را بعد از ته نشین شدن کربنات پتاسیم جدا کرده و آن را داخل یک بطری قهوه ای نگه داری کنید.
ب) ۴ گرم آلومینیوم ترشری بوتیلات را به یک لیتر اتانل اضافه کنید و بگذارید چند روز ساکن باقی بماند سپس محلول شفاف رویی را در یک ارلن بریزید و به آن مقداری پتاسیم هیدروکسید اضافه کنید و بگذارید چند روز بدون حرکت .بماند سپس محلول شفاف رویی را از کربنات پتاسیم ته نشین شده به آهستگی سرریز نمایید و در یک بطری شیشه ای قهوه ای نگه داری کنید.
۲-اسید کلریدریک، ۰.۵ نرمال
۳-شناساگر فنول فتالئین
۴-محلول آبی قلیایی ۶B

روش آزمون

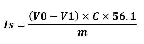
محاسبات

V۰ حجم محلول اسید کلریدریک استاندارد مصرف شده برای آزمون شاهد بر حسب میلی لیتر
V۱ حجم محلول اسید کلریدریک استاندارد مصرف شده برای آزمون نمونه بر حسب میلی لیتر
C غلظت دقیق محلول اسیدکلریدریک استاندارد بر حسب مول بر لیتر
m جرم آزمایه بر حسب گرم

محصولات مشابه

نانوذرات کاربید تنگستن

Tungsten Carbide Nanopowder, Tungsten Carbide Nanoparticles, WC Nanopowder, Nano WC
نانو پودر کاربید تنگستن، نانوذرات تنگستن کارباید، نانو پودر تنگستن کارباید
آزمایشگاهی
WC nanoparticles
WC
Product Nu:
CAS number: 12070-12-1
Molocular Weight: 195.86

نانولوله های کربنی تک دیواره

Single-Walled Carbon Nanotubes
نانوتیوب های کربنی تک دیواره
آزمایشگاهی
SWCNTs
C
Product Nu:
CAS number: 308068-56-6
Molocular Weight:

نانوذرات اکسید تیتانیوم

Titanium dioxide nanoparticles, Nano TiO۲, TiO۲ nanopowder, Titanium dioxide nanopowder
نانو پودر دی اکسید تیتانیوم، نانو ذرات تیتانیوم دی اکسید، آناتاز، روتایل
آزمایشگاهی
TiO2 Nanoparticles
TiO2
Product Nu:
CAS number: 13463-67-7
Molocular Weight: 79.866

نانوذرات کاربید بور

Boron Carbide Nanoparticles, Boron Carbide Nanopowder, B۴C Nanopowder, Nano B۴C
نانو پودر کاربید بور، نانوذرات بور کارباید، نانو پودر بور کارباید
آزمایشگاهی
B4C nanoparticles
B4C
Product Nu:
CAS number: 12069-32-8
Molocular Weight: 55.25

نانولوله های کربنی چند دیواره

Multiwall Carbon Nanotubes, Multi-Walled Carbon Nanotubes
نانوتیوب های کربنی چند دیواره
آزمایشگاهی
MWCNTs
C
Product Nu:
CAS number: 308068-56-6
Molocular Weight:

نانوذرات اکسید سیلیسیم

Silicon Dioxide Nanoparticles, Silica Nanoparticles
نانوذرات دی اکسید سیلیسیم، نانو سیلیکا، نانوذرات سیلیکا، نانو پودر سیلیکا، نانو پودر اکسید سیلیسیم
آزمایشگاهی
SiO2 Nanoparticles
SiO2
Product Nu:
CAS number: 7631-86-9
Molocular Weight: 60.08

نانو گرافن

Nano Graphene Powder
پودر نانو گرافن، نانوگرافن، گرافن، پودر گرافن
آزمایشگاهی
Nano Graphene
C
Product Nu:
CAS number: 7782-42-5
Molocular Weight: 12.01

نانوذرات کاربید تیتانیوم

Titanium Carbide nanoparticles, Titanium Carbide Nanopowder, Nano TiC, TiC nanoparticles
نانو پودر کاربید تیتانیوم، نانو پودر تیتانیوم کاربید، نانو ذرات تیتانیوم کارباید
آزمایشگاهی
TiC nanoparticles
TiC
Product Nu:
CAS number: 12070-08-5
Molocular Weight: 59.89

مقالات تخصصی مواد شیمیایی

فروشگاه انواع سیم و کابل شاهین محصولات مختلفی دارد که در ادامه به آن ها اشاره خواهیم کرد. اولین دسته به فروش انواع کابل مفتول کولری اختصاص یافته است. شما می توانید انواع کابل کیسه ای را در این سایت پیدا کنید. به راحتی می توانید وضعیت فروش انواع کابل تلفنی / مخابراتی زوجی J-Y(ST)Y را در این سامانه بررسی نمایید. در بخش دیگری از سایت، شاهد فروش انواع کابل هوشمند (KNX) خواهید بود. در سامانه مذکور فروش انواع کابل نسوز (هالوژن فری) HFFR نیز رخ می دهد. حتی می توان برای فروش انواع سیم مفتول ارت نیز به آنجا مراجعه نمود. در منویی دیگر می توان فروش انواع سیم نایلونی (بند تخت - NYZ) را به راحتی دید. ماجرا از فروش سیم و کابل برق در اراک شروع یم شود. بدون وقفه فروش سیم و کابل در لاله زار برقرار است. پاسخ سیم افشان بهتر است یا مفتولی را در آنجا پیدا خواهید کرد. همچنان در حال فروش سیم برق ساختمانی در تهران می باشند. این واقعه در شهر دیگری هم هست و شاهد فروش سیم برق ساختمانی در اصفهان می باشیم. با معرفی ۲ نمونه از بهترین سیم برق ساختمانی {۲۰۲۴-۱۴۰۲} در خدمت شما عزیزان هستیم. لازم است تا به سراغ موضوع فروش کابل نسوز (هالوژن فری) در لاله زار نیز برویم. اینکه بفهمیم وضعیت فروش کابل نسوز (هالوژن فری) HFFR در اصفهان به چه ترتیب است، به نظر مهم می رسد. ما فروش کابل هوشمند (KNX) در اصفهان هم داریم. بیایید فروش کابل مفتول کولری در اصفهان را هم بررسی کنیم. نباید از فروش کابل مخابراتی (تلفنی) زوجی j-y(st)y در اصفهان غافل شد. خیلی ها می خواهند بدانند بهترین کابل کواکسیال ماهواره کدام است. با این حال بهتر است پیگیر فروش کابل کواکسیال در اصفهان باشیم. در کنار آن به فروش کابل کواکسیال در شیراز نیز نگاهی بیندازیم. از مباحث حائز اهمیت دیگر فروش سیم برق موتور کولر آبی و کولر گازی را باید نام برد. پیگیر فروش کابل آنتن تلویزیون هم هستیم. موضوع کابل برق صنعتی بسیار مهم محسوب می شود. احتمالا به سیم برق پمپ آب | کابل برق پمپ آب هم احتیاج خواهد شد. فروش سیم تلویزیون را از کجا پیگیر باشیم. باید دید فروش سیم افشان (NYMHY) در اصفهان به چه صورت است. حواسمان باید به فروش سیم افشان (NYMHY) در شیراز نیز باشد. احتمالا نیاز باشد فروش سیم و کابل صنعتی در اصفهان را هم بررسی کنیم. در زمان مناسب به فروش سیم و کابل صنعتی در شیراز هم خواهیم پرداخت. بگذارید فروش سیم و کابل صنعتی در تبریز را هم آغاز کنیم.