رزین ملامین فرمالدهید سولفونه شده

رزین ملامین فرمالدهید سولفونه شده

رزین ملامین فرمالدهید سولفونه شده

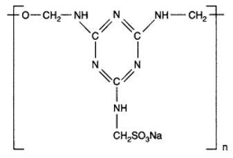
رزین ملامین–فرمالدهید سولفونه‌شده یک پلیمر تراکمی محلول در آب است که با افزودن گروه‌های سولفونات، بار منفی پایدار و قدرت پخش‌کنندگی بسیار بالایی پیدا می‌کند؛ عاملی که آن را برای استفاده در بتن به‌عنوان یک فوق‌روان‌کننده کارآمد و کاهنده آب قوی ایده‌آل می‌سازد. این رزین برخلاف رزین‌های شبکه‌ای ملامین–فرمالدهید، در حالت خطی/شاخه‌دار و کاملاً محلول باقی می‌ماند و محیطی کلوئیدی پایدار ایجاد می‌کند؛ رفتاری که امکان پراکندگی یکنواخت ذرات سیمان، جلوگیری از فلوکولاسیون و کاهش ویسکوزیته بتن را فراهم می‌کند. قابلیت مهندسی‌پذیری این رزین—از طریق کنترل وزن مولکولی، درجه سولفوناسیون و شرایط واکنش—باعث شده است که بتوان آن را دقیقاً متناسب با نیازهای بتن‌های با کارایی بالا، بتن‌های پرمقاومت و بتن‌ریزی در مقاطع پُرآرماتور طراحی و بهینه‌سازی کرد..


میزان مصرف رزین ملامین–فرمالدهید سولفونه‌شده در بتن معمولاً بر اساس درصد وزنی ماده‌خشک نسبت به سیمان تعیین می‌شود و بسته به نوع بتن، سطح روانی موردنیاز و مقدار کاهش آب هدف‌گذاری‌شده، بین ۰.۴٪ تا ۲٪ متغیر است. در کاربردهای عمومی بتن‌ریزی، دوزهای پایین‌تر یعنی حدود ۰.۴ تا ۰.۸ درصد برای افزایش روانی اولیه و کاهش آب در حد ۱۲ تا ۱۸ درصد مناسب هستند؛ در حالی که برای بتن‌های پرمقاومت، پیش‌تنیده، پمپی و یا مواردی که باید نسبت آب به سیمان به‌طور قابل‌توجهی کاهش یابد، معمولاً به ۰.۸ تا ۱.۵ درصد نیاز است. در بتن‌های بسیار روان مانند بتن خودتراکم (SCC) یا بتن‌های با تراکم آرماتور بالا که به حفظ جریان‌پذیری و کاهش آب شدید نیاز دارند، مقدار مصرف می‌تواند تا ۱.۵ تا ۲ درصد نیز افزایش یابد. از آن‌جا که این رزین معمولاً به‌صورت محلول ۳۰–۴۰ درصد ماده‌خشک عرضه می‌شود، هر یک درصد ماده‌خشک معادل تقریباً ۲.۵ تا ۳.۵ لیتر محلول SMF به ازای ۱۰۰ کیلوگرم سیمان است؛ به‌این‌ترتیب، بسته به دوز انتخابی، مقدار مصرف واقعی در کارگاه بین ۱ تا ۷ لیتر محلول برای هر ۱۰۰ کیلوگرم سیمان خواهد بود. در نهایت، انتخاب دقیق دوز باید بر اساس اسلامپ موردنیاز، نوع سیمان، دمای محیط و نوع پروژه تعیین شود تا بیشترین اثر روان‌کنندگی بدون ایجاد افت اسلامپ یا تأخیر گیرش به‌دست آید.


برای آن‌که رزین ملامین–فرمالدهید سولفونه‌شده (SMF) بهترین اثر خود را به‌عنوان فوق‌روان‌کننده در بتن نشان دهد، رعایت چند نکته کلیدی ضروری است. این رزین زمانی بیشترین کارایی را دارد که بتن با نسبت آب به سیمان کنترل‌شده ساخته شود، زیرا کاهش آب آزاد باعث می‌شود SMF بتواند ذرات سیمان را بهتر پراکنده کرده و از تجمع آن‌ها جلوگیری کند. محیط قلیایی خمیر سیمان نیز به فعال شدن گروه‌های سولفونات کمک کرده و نقش پخش‌کنندگی رزین را تقویت می‌کند. دمای اختلاط و اجرای بتن نیز بسیار مهم است. بهترین بازه دمایی عملکرد SMF معمولاً ۱۰ تا ۳۰ درجه سانتی‌گراد است؛ در این محدوده پایداری رزین، حلالیت و سرعت عمل آن در بهترین وضعیت قرار دارند. در دماهای بسیار پایین کارایی رزین کاهش می‌یابد و در دماهای بالا امکان افت سریع اسلامپ وجود دارد. برای جلوگیری از تداخل افزودنی‌ها، بهتر است SMF بدون ارزیابی فنی با مواد آنیونی قوی یا نمک‌های چندظرفیتی ترکیب نشود، زیرا این مواد می‌توانند تعادل کلوئیدی رزین را برهم بزنند. همچنین توصیه می‌شود رزین پس از اضافه شدن بخش عمده آب مخلوط، به‌صورت محلول یکنواخت وارد بتن شود تا پخش آن کامل و بدون اتلاف انجام شود. در نهایت، کیفیت مصالح سنگی نقش مهمی دارد. وجود گردوغبار، ذرات رسی یا دانه‌بندی نامنظم باعث می‌شود بخشی از رزین قبل از رسیدن به ذرات سیمان مصرف شده و تأثیر اصلی آن کاهش یابد. با رعایت این شرایط، SMF می‌تواند به‌طور کامل نقش خود را در افزایش کارپذیری، کاهش آب و بهبود خواص رئولوژیکی بتن ایفا کند.


رزین ملامین–فرمالدهید سولفونه‌شده از آن دسته افزودنی‌هایی است که در مرحله اجرا، نقش آن بیشتر از مرحله طرح اختلاط دیده می‌شود؛ زیرا این رزین رفتار بتن را در زمان حرکت، پمپ شدن و جایگذاری به‌طور مستقیم تحت‌تأثیر قرار می‌دهد. در پروژه‌هایی که نیاز به پایداری اسلامپ در زمان حمل وجود دارد، SMF کمک می‌کند تا بتن در مسیرهای طولانی یا در ترافیک سنگین، افت کارایی کمتری داشته باشد و بدون نیاز به افزودن دوباره آب به محل بتن‌ریزی برسد. همچنین در کارگاه‌هایی که محدودیت زمانی برای تراکم وجود دارد، مانند بتن‌ریزی‌های حجیم یا عملیات‌هایی که چند تیم اجرایی هم‌زمان مشغول کار هستند، این رزین باعث یکنواختی جریان و کاهش نیاز به ویبره‌های طولانی می‌شود و در نتیجه کیفیت نهایی سطح بتن بهتر حفظ می‌گردد. یکی دیگر از کاربردهای عملی آن در بتن‌ریزی‌های سریع یا شبانه است؛ جایی که نیاز است بتن با سرعت پخش و تسطیح مناسب در دسترس باشد تا عملیات در زمان محدود بدون مشکل انجام شود. در کنار این مزایا، استفاده صحیح از SMF نیازمند توجه به چند نکته کلیدی است. نخست اینکه باید غلظت و یکنواختی محلول قبل از مصرف بررسی شود، زیرا رسوب یا ته‌نشینی می‌تواند مقدار ماده فعال و اثرگذاری آن را تغییر دهد. دوم اینکه بهتر است افزودنی در دو مرحله اضافه شود: بخشی در زمان اختلاط اولیه و بخش دیگر هنگام رسیدن بتن به کارایی مطلوب، تا پراکنش آن بهتر کنترل شود. در شرایطی که از ماسه شسته‌نشده یا سنگدانه‌های با جذب آب بالا استفاده می‌شود، باید انتظار داشت که بخشی از SMF برای خنثی‌سازی بار سطحی این ذرات مصرف شود، بنابراین لازم است دوز مصرف با آزمایش کارگاهی اصلاح گردد. همچنین در هوای بسیار گرم، افزودنی‌های کاهش‌دهنده تبخیر یا سایه‌اندازهای کارگاهی باید همراه با SMF استفاده شوند تا از افت سریع روانی جلوگیری شود. نکته مهم دیگر این است که SMF در کنار برخی افزودنی‌های خاص، مانند فوق‌روان‌کننده‌های پلی‌کربوکسیلاتی، اثر تجمعی یا تداخلی ایجاد می‌کند؛ به همین دلیل توصیه می‌شود هرگز این مواد بدون بررسی آزمایشگاهی با یکدیگر ترکیب نشوند. در تجهیزات حمل و پمپاژ نیز باید توجه داشت که وجود لایه‌های سیمانی خشک‌شده یا باقی‌مانده افزودنی‌های قبلی در مخزن، می‌تواند واکنش‌های ناخواسته ایجاد کند. بنابراین قبل از مصرف SMF، آماده‌سازی و شست‌وشوی سیستم اهمیت زیادی دارد.

محصولات مشابه

نانولوله های کربنی چند دیواره

Multiwall Carbon Nanotubes, Multi-Walled Carbon Nanotubes
نانوتیوب های کربنی چند دیواره
آزمایشگاهی
MWCNTs
C
Product Nu:
CAS number: 308068-56-6
Molocular Weight:

نانو گرافن

Nano Graphene Powder
پودر نانو گرافن، نانوگرافن، گرافن، پودر گرافن
آزمایشگاهی
Nano Graphene
C
Product Nu:
CAS number: 7782-42-5
Molocular Weight: 12.01

نانولوله های کربنی تک دیواره

Single-Walled Carbon Nanotubes
نانوتیوب های کربنی تک دیواره
آزمایشگاهی
SWCNTs
C
Product Nu:
CAS number: 308068-56-6
Molocular Weight:

نانو گرافن اکساید

Nano Graphene Oxide Powder, GO nanopowder
نانو گرافن اکسید، پودر نانو گرافن اکساید، پودر نانوگرافن اکسید، گرافن اکساید
آزمایشگاهی
Nano Graphene Oxide
Product Nu:
CAS number: 1034343-98-0
Molocular Weight:

نانوذرات کاربید بور

Boron Carbide Nanoparticles, Boron Carbide Nanopowder, B۴C Nanopowder, Nano B۴C
نانو پودر کاربید بور، نانوذرات بور کارباید، نانو پودر بور کارباید
آزمایشگاهی
B4C nanoparticles
B4C
Product Nu:
CAS number: 12069-32-8
Molocular Weight: 55.25

نانوذرات اکسید تیتانیوم

Titanium dioxide nanoparticles, Nano TiO۲, TiO۲ nanopowder, Titanium dioxide nanopowder
نانو پودر دی اکسید تیتانیوم، نانو ذرات تیتانیوم دی اکسید، آناتاز، روتایل
آزمایشگاهی
TiO2 Nanoparticles
TiO2
Product Nu:
CAS number: 13463-67-7
Molocular Weight: 79.866

نانوذرات کاربید تنگستن

Tungsten Carbide Nanopowder, Tungsten Carbide Nanoparticles, WC Nanopowder, Nano WC
نانو پودر کاربید تنگستن، نانوذرات تنگستن کارباید، نانو پودر تنگستن کارباید
آزمایشگاهی
WC nanoparticles
WC
Product Nu:
CAS number: 12070-12-1
Molocular Weight: 195.86

نانوذرات کاربید تیتانیوم

Titanium Carbide nanoparticles, Titanium Carbide Nanopowder, Nano TiC, TiC nanoparticles
نانو پودر کاربید تیتانیوم، نانو پودر تیتانیوم کاربید، نانو ذرات تیتانیوم کارباید
آزمایشگاهی
TiC nanoparticles
TiC
Product Nu:
CAS number: 12070-08-5
Molocular Weight: 59.89

مقالات تخصصی مواد شیمیایی

فروشگاه انواع سیم و کابل شاهین محصولات مختلفی دارد که در ادامه به آن ها اشاره خواهیم کرد. اولین دسته به فروش انواع کابل مفتول کولری اختصاص یافته است. شما می توانید انواع کابل کیسه ای را در این سایت پیدا کنید. به راحتی می توانید وضعیت فروش انواع کابل تلفنی / مخابراتی زوجی J-Y(ST)Y را در این سامانه بررسی نمایید. در بخش دیگری از سایت، شاهد فروش انواع کابل هوشمند (KNX) خواهید بود. در سامانه مذکور فروش انواع کابل نسوز (هالوژن فری) HFFR نیز رخ می دهد. حتی می توان برای فروش انواع سیم مفتول ارت نیز به آنجا مراجعه نمود. در منویی دیگر می توان فروش انواع سیم نایلونی (بند تخت - NYZ) را به راحتی دید. ماجرا از فروش سیم و کابل برق در اراک شروع یم شود. بدون وقفه فروش سیم و کابل در لاله زار برقرار است. پاسخ سیم افشان بهتر است یا مفتولی را در آنجا پیدا خواهید کرد. همچنان در حال فروش سیم برق ساختمانی در تهران می باشند. این واقعه در شهر دیگری هم هست و شاهد فروش سیم برق ساختمانی در اصفهان می باشیم. با معرفی ۲ نمونه از بهترین سیم برق ساختمانی {۲۰۲۴-۱۴۰۲} در خدمت شما عزیزان هستیم. لازم است تا به سراغ موضوع فروش کابل نسوز (هالوژن فری) در لاله زار نیز برویم. اینکه بفهمیم وضعیت فروش کابل نسوز (هالوژن فری) HFFR در اصفهان به چه ترتیب است، به نظر مهم می رسد. ما فروش کابل هوشمند (KNX) در اصفهان هم داریم. بیایید فروش کابل مفتول کولری در اصفهان را هم بررسی کنیم. نباید از فروش کابل مخابراتی (تلفنی) زوجی j-y(st)y در اصفهان غافل شد. خیلی ها می خواهند بدانند بهترین کابل کواکسیال ماهواره کدام است. با این حال بهتر است پیگیر فروش کابل کواکسیال در اصفهان باشیم. در کنار آن به فروش کابل کواکسیال در شیراز نیز نگاهی بیندازیم. از مباحث حائز اهمیت دیگر فروش سیم برق موتور کولر آبی و کولر گازی را باید نام برد. پیگیر فروش کابل آنتن تلویزیون هم هستیم. موضوع کابل برق صنعتی بسیار مهم محسوب می شود. احتمالا به سیم برق پمپ آب | کابل برق پمپ آب هم احتیاج خواهد شد. فروش سیم تلویزیون را از کجا پیگیر باشیم. باید دید فروش سیم افشان (NYMHY) در اصفهان به چه صورت است. حواسمان باید به فروش سیم افشان (NYMHY) در شیراز نیز باشد. احتمالا نیاز باشد فروش سیم و کابل صنعتی در اصفهان را هم بررسی کنیم. در زمان مناسب به فروش سیم و کابل صنعتی در شیراز هم خواهیم پرداخت. بگذارید فروش سیم و کابل صنعتی در تبریز را هم آغاز کنیم.